Комплексное теплотехническое обследование как инструмент повышения теплозащиты строящихся зданий - «Строительные Материалы»
Комплексное теплотехническое обследование включает, прежде всего, внутреннюю и наружную тепловизионную съёмку и определение фактических значений приведённого сопротивления теплопередаче ограждающих конструкций. Выявление «слабых мест» в теплозащите здания, их совершенствование и сравнительная количественная оценка эффективности различных конструкций, внедрение наиболее эффективных в практику массового строительства — тот путь, который следует использовать для решения задач повышения теплозащиты зданий.
Рассмотрим возможности такого подхода на примере трехэтажного жилого дома с техническим подпольем.
Сведения об объемно-планировочных и конструктивных решениях обследуемого объекта приведены из проектной документации. Жилой дом односекционный с техническим подпольем входит в состав комплекса трёхэтажных жилых домов. Конструктивная схема здания – монолитный железобетонный каркас с несущими пилонами в жилой части, монолитными лестничными клетками, монолитными дисками перекрытий. Наружные стены двух типов.
Состав стены 1-го типа:
— цементно-песчаная штукатурка — 30 мм;
— кладка из мелкоячеистых пенобетонных блоков
γ=600кг/м³ на растворе;
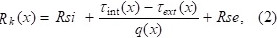
— #TO0000009 СП 23-101-2004; Rk — термическое сопротивление ограждающей конструкции, м2·оС/Вт, определенное по результатам анализа данных мониторинга процессов теплопередачи через испытуемые фрагменты.
Вследствие нестационарных процессов теплопередачи определение сопротивления теплопередаче возможно только на основе совместного анализа временных зависимостей температур наружного и внутреннего воздуха, тепловых потоков через ограждающую конструкцию, коэффициентов теплоотдачи внутренней поверхности, а также функции сопротивления теплопередаче Rk(x),

где x — время, мин.,
Tint(x) — температура внутренней поверхности стены, оС,
Text(x) — температура наружной поверхности стены, оС,
q(x) — плотность теплового потока через ограждение, Вт/м2.
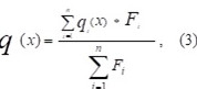
Для повышения точности измерений каждый испытуемый фрагмент разбивался на зоны (от трех до десяти), в которых устанавливались датчики теплового потока и температуры. Временная зависимость плотности теплового потока, представленная в формуле (2), имеет усредненное значение по зонам в каждый момент времени

где n — число зон, на которые разделен фрагмент в соответствии с установкой датчиков температуры и тепловых потоков,
Fi — площадь i-ой зоны, м2.
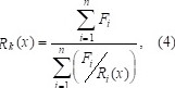
Приведённое сопротивление теплопередаче фрагмента ограждения определялось по формуле

где Ri — сопротивление теплопередаче i-ой зоны в момент времени x, м2×°С/Вт.
В формулах (2) и (4) под сопротивлением теплопередаче понимается временная функциональная зависимость между входящими переменными. В частном случае стационарного режима теплопередачи эти соотношения определяют приведенное сопротивление теплопередаче фрагмента стены в стандартном понимании, изложенном в нормативных документах.
Результаты определения приведённого сопротивления теплопередаче для фрагментов стен, покрытия и пола техподполья сведены в таблицу 1.
№ п/п | Наименование фрагмента испытываемой конструкции | Приведенное сопротивление теплопередаче Rпр, м2оС/Вт | |||
Измеренное значение | Расчетное среднее по результатам испытаний | Требуемое значение по СП 50.13330.2012 | Расчетное (проектное) значение | ||
1 | Стена торцевая | 2,87 | 2,76 | 2,99 | 3,02 (кладка из блоков)
2,98 (ж/б пилон) |
2 | Стена торцевая | 3,33 | |||
3 | Стена со светопроёмом | 1,91 | |||
4 | Стена со светопроёмом | 2,56 | |||
5 | Стена со светопроемом | 2,75 | |||
6 | Стена со светопроемом | 2,68 | |||
7 | Стена со светопроемом | 3,00 | |||
8 | Стена (ж/б пилон) | 1,97 | |||
9 | Покрытие | 2,63 | 2,85 | 4,47 | 5,48 |
10 | Покрытие | 3,11 | |||
11 | Стена тех. подполья | 1,11 | 1,11 | - | 3,72 |
12 | Пол тех. подполья | 1,59 | 1,59 | - | 4,14 |
Результаты измерений сопротивления теплопередаче оконного блока приведены в таблице 2.
Наименование элемента | Приведённое сопротивление теплопередаче Rпр, м2·оС/Вт. | ||
Измеренное значение | Требуемое значение по СП 50.13330.2012 | Расчетное (проектное) значение | |
Оконный блок (фото 4.1) | 0,56 | 0,49 | 0,56 |
-профиль коробки | 0,82 | ||
-профиль створок | 0,89 | ||
-стеклопакет | 0,48 | ||
Выводы по представленным результатам измерений:
- Наблюдается значительный разброс показателей разных фрагментов стен. Диапазон измеренных значений сопротивления теплопередаче от 1,9 м2·оС/Вт до 3,3 м2·оС/Вт. Это типичная ситуация, связанная с различиями в конструктивных решениях, на теплотехнические качества которых влияют различные теплопроводные включения. При экспертизе соответствия проекту или требованиям норм наиболее объективным показателем является средневзвешенное значение сопротивления теплопередаче по всем фрагментам стен. Для обследуемого здания оно составляет 2,76 м2·оС/Вт, что близко к проектному 3,0 м2·оС/Вт.
- Менее благополучно обстоят дела с конструкцией покрытия. Измеренное значение сопротивления теплопередаче почти в два раза меньше заявленного в проекте. Причина заключается в методике проектирования, не учитывающей в полной мере влияние теплотехнических неоднородностей совмещенного покрытия.
- Ещё более проблемной с позиций соблюдения норм является зона полов и стен техподполья. Требуется принципиальное изменение конструктивных решений подземной части для повышения её теплозащитных качеств.
- Фактическое сопротивление оконного блока соответствует требованиям нормативной и проектной документации. Однако сопротивление теплопередаче стеклопакета почти в два раза ниже среднего значения по данным испытаний более 200 оконных блоков, проведённых ГБУ «ЦЭИИС» за последние 4 года в Москве (0,7 м2·оС/Вт.).
- Теплотехнические показатели стен обследованного здания в сравнении со статистикой подобных испытаний, выполненных ГБУ «ЦЭИИС», свидетельствуют о том, что в сравнении со средними значениями для панельных стен (1,7-1,8 м2·оС/Вт) и стен с вентфасадами (2,2-2,4 м2·оС/Вт) наблюдаются существенно лучшие результаты (среднее 2,76 м2·оС/Вт). Для покрытия и подвальной части здания ситуация является типичной для большинства обследованных зданий.
Таким образом, выполненное обследование задаёт направления совершенствования теплозащитных качеств наружных ограждений подобных зданий для последующего применения в массовом строительстве. Ввиду ограниченности объема статьи не затронуты результаты тепловизионной съемки, которые демонстрируют теплотехническую неоднородность наружных ограждений и участки, требующие совершенствования конструктивных решений.
Крышов С.И., начальник отдела экспертиз зданий и сооружений на соответствие теплотехническими акустическим требованиям ГБУ «ЦЭИИС»
И будьте в курсе первыми!